Re: Credit Solutions
Hi all
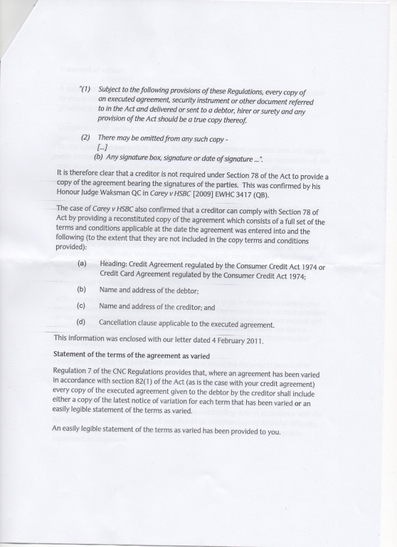
sent the CCA Query letter to Barcs and have received this back
Hi all
sent the CCA Query letter to Barcs and have received this back
We're a FREE consumer debt and legal forum offering help, support and debate in many areas of day-to-day life. You will need to Register a Free Account before you can join in with the discussion and contribute with your own posts. Remember to also check out the FAQ's so you can get to grips with how the forum works ready to start posting your new topics. Read about the new GDPR 2018 Rules and how it affects you as a member of AAD.


Website Built & Managed by SimpleServe Web Design.
Comment