GDPR Cookie Consent by SimpleServe Privacy Script Unenforceability General Questions & Answers - AAD Consumer Forum

Announcement

Collapse
No announcement yet.

Unenforceability General Questions & Answers

Collapse
X
 
  • Filter
  • Time
  • Show
Clear All
new posts

  • Re: Unenforceability General Questions & Answers

    I think the whole agreement needs to be reviewed before advice can be given. When was the card taken out? It is best if you start a thread for this account where you can get advice tailored to your situation. We do have a secure and confidential area where agreements can be securely reviewed.
    I'm an official AAD Moderator and also a volunteer, here to help make the forum run smoothly. Any views or opinions are mine and not the official line of AAD. Similarly, any advice I have offered you is done so on an informal basis, without prejudice or liability. If in doubt seek advice from a qualified insured professional - Find a Solicitor or go to the National Probono Centre.

    If you spot an abusive or libellous post then please report it by Clicking Here. If you need to contact me, for instance if I've issued you a warning, moved, edited or deleted your post, please send me a message by clicking my username.

    Comment


    • Re: Unenforceability General Questions & Answers

      [QUOTE=cymruambyth;576688]I think the whole agreement needs to be reviewed before advice can be given. When was the card taken out? It is best if you start a thread for this account where you can get advice tailored to your situation. We do have a secure and confidential area where agreements can be securely reviewed.[/QUOTE]


      Many thanks -I'll do that

      Comment


      • Re: Unenforceability General Questions & Answers

        [QUOTE=hra47;576640]A credit card company never sent me 'Your right to cancel' details,as noted at the bottom of the agreement signed in 2004 - it said 'exact details of how and when you can do this will be sent to you by post by **** . I never received this,and a DSAR shows no copy of any such cancellation rights sent to me at any time,in any shape or form.
        How does this affect enforceabilty of the agreement? Thnx in advance[/QUOTE]on its own - de minimis. Have you done a formal s.78 request?
        I'm the forum administrator and I look after the theme & features, our volunteers & users and also look after any complaints or Data Protection queries that pass through the forum or main website. I am extremely busy so if you do contact me or need a reply to a forum post then use the email or PM features offered because I do miss things and get tied up for days at a time!

        If you spot any spammers, AE's, abusive or libellous posts or anything else that just doesn't feel right then please report them to me as soon as you spot them at: webmaster@all-about-debt.co.uk

        Comment


        • Re: Unenforceability General Questions & Answers

          [QUOTE=hra47;576692]Many thanks -I'll do that[/QUOTE]you have joined AAD+ so can go totally hidden - but you need to do a s.78 before anything else -let's see what the lender has. Lack of cancellation rights won't render it UE. ;)
          I'm the forum administrator and I look after the theme & features, our volunteers & users and also look after any complaints or Data Protection queries that pass through the forum or main website. I am extremely busy so if you do contact me or need a reply to a forum post then use the email or PM features offered because I do miss things and get tied up for days at a time!

          If you spot any spammers, AE's, abusive or libellous posts or anything else that just doesn't feel right then please report them to me as soon as you spot them at: webmaster@all-about-debt.co.uk

          Comment


          • Re: Unenforceability General Questions & Answers

            [QUOTE=Never-In-Doubt;576766]on its own - de minimis. Have you done a formal s.78 request?[/QUOTE]

            I have been sent a copy of the credit card agreement,either a copy of the original or a reconstituted version - I am not sure which,as credit card co kept referring to my request for a reconstituted version,which obviously I had not requested -

            Comment


            • Re: Unenforceability General Questions & Answers

              you could send copy to Niddly to check what you have is enforceable/non enforceable CCA1974
              I'm an official AAD Moderator and also a volunteer, here to help make the forum run smoothly. Any views or opinions are mine and not the official line of AAD. Similarly, any advice I have offered you is done so on an informal basis, without prejudice or liability. If in doubt seek advice from a qualified insured professional - Find a Solicitor or go to the National Probono Centre.

              If you spot an abusive or libellous post then please report it by Clicking Here. If you need to contact me, for instance if I've issued you a warning, moved, edited or deleted your post, please send me a message by clicking my username.

              Comment


              • Re: Unenforceability General Questions & Answers

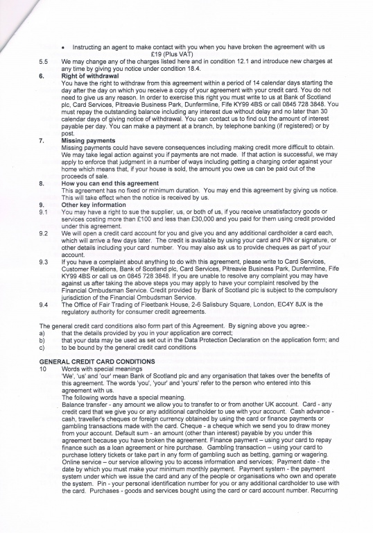
                As suggested,here is a copy of credit card agreement - I understood (or mis-understood) that a failure to send cancellation rights,as per the 'Your right to cancel' section,rendered a contract unenforceable - also,the Data Protection Act section refers to a section 'About you-personal information and how we use it' - when I pointed out to Halifax there was no such section,they replied 'the statement you're referring to is covered in clause 22.2 of your current terms and conditions and also clause 12.2 of your historic terms and conditions' - they avoided referring to something which they said was there and was not - trivial possibly,but how many lawyers would have worked on the agreement and how many copies sent to customers,referring you to something not there?
                Any help with this most gratefully received!

                Just a little background,to explain why this is coming to light now - a number of my CC debts were (supposedly) sold to a company, Highbridge,and for 3/4 years I heard little or nothing - then Highbridge went into liquidation,and all the debts started reverting to me.
                I had been introduced to Highbridge by another party,and I sued this person successfully in the Small Claims Track of county court for return of fees,but that does not help with the original debts.
                Attached Files

                Comment


                • Re: Unenforceability General Questions & Answers

                  send to niddy never publish items
                  I'm an official AAD Moderator and also a volunteer, here to help make the forum run smoothly. Any views or opinions are mine and not the official line of AAD. Similarly, any advice I have offered you is done so on an informal basis, without prejudice or liability. If in doubt seek advice from a qualified insured professional - Find a Solicitor or go to the National Probono Centre.

                  If you spot an abusive or libellous post then please report it by Clicking Here. If you need to contact me, for instance if I've issued you a warning, moved, edited or deleted your post, please send me a message by clicking my username.

                  Comment


                  • Re: Unenforceability General Questions & Answers

                    Unapproved your post as all your details show - never show them advised to send to Niddy!
                    I'm an official AAD Moderator and also a volunteer, here to help make the forum run smoothly. Any views or opinions are mine and not the official line of AAD. Similarly, any advice I have offered you is done so on an informal basis, without prejudice or liability. If in doubt seek advice from a qualified insured professional - Find a Solicitor or go to the National Probono Centre.

                    If you spot an abusive or libellous post then please report it by Clicking Here. If you need to contact me, for instance if I've issued you a warning, moved, edited or deleted your post, please send me a message by clicking my username.

                    Comment


                    • Re: Unenforceability General Questions & Answers

                      [QUOTE=The Tech Clerk;576776]you could send copy to Niddly to check what you have is enforceable/non enforceable CCA1974[/QUOTE] [email]webmaster@all-about-debt.co.uk[/email]
                      I'm an official AAD Moderator and also a volunteer, here to help make the forum run smoothly. Any views or opinions are mine and not the official line of AAD. Similarly, any advice I have offered you is done so on an informal basis, without prejudice or liability. If in doubt seek advice from a qualified insured professional - Find a Solicitor or go to the National Probono Centre.

                      If you spot an abusive or libellous post then please report it by Clicking Here. If you need to contact me, for instance if I've issued you a warning, moved, edited or deleted your post, please send me a message by clicking my username.

                      Comment


                      • Re: Unenforceability General Questions & Answers

                        [QUOTE=cymruambyth;576688]I think the whole agreement needs to be reviewed before advice can be given. When was the card taken out? It is best if you start a thread for this account where you can get advice tailored to your situation. We do have a secure and confidential area where agreements can be securely reviewed.[/QUOTE]


                        I have sent a copy of the credit card agreement,but am not sure where it ended up...I am wrong generation for computers!

                        Comment


                        • Re: Unenforceability General Questions & Answers

                          [QUOTE=hra47;576792]I think the whole agreement needs to be reviewed before advice can be given. When was the card taken out? It is best if you start a thread for this account where you can get advice tailored to your situation. We do have a secure and confidential area where agreements can be securely reviewed.[/QUOTE


                          I have sent a copy of the credit card agreement,but am not sure where it ended up...I am wrong generation for computers![/QUOTE]

                          Did you send it via:- post 188? if not fill it out and send through that one.

                          Edit by admin - it's best to email Niddy the agreement.
                          I'm an official AAD Moderator and also a volunteer, here to help make the forum run smoothly. Any views or opinions are mine and not the official line of AAD. Similarly, any advice I have offered you is done so on an informal basis, without prejudice or liability. If in doubt seek advice from a qualified insured professional - Find a Solicitor or go to the National Probono Centre.

                          If you spot an abusive or libellous post then please report it by Clicking Here. If you need to contact me, for instance if I've issued you a warning, moved, edited or deleted your post, please send me a message by clicking my username.

                          Comment


                          • Re: Unenforceability General Questions & Answers

                            I am sorry - how/where do I find post 188,can't find any sign of it - I am a bit worried as to where I sent 19 page copies of credit card agreement,would not want that to get about generally - that's what happens when you don't really understand computers/websites etc - apologies
                            xxxx xxxxxx
                            Last edited by The Tech Clerk; 10 October 2016, 10:53.

                            Comment


                            • Re: Unenforceability General Questions & Answers

                              [QUOTE=hra47;576862]I am sorry - how/where do I find post 188,can't find any sign of it - I am a bit worried as to where I sent 19 page copies of credit card agreement,would not want that to get about generally - that's what happens when you don't really understand computers/websites etc - apologies
                              xxxx xxxxxx[/QUOTE]


                              I have edited this final bit as you stated your personal name - No identifying marks on post okay!?
                              I'm an official AAD Moderator and also a volunteer, here to help make the forum run smoothly. Any views or opinions are mine and not the official line of AAD. Similarly, any advice I have offered you is done so on an informal basis, without prejudice or liability. If in doubt seek advice from a qualified insured professional - Find a Solicitor or go to the National Probono Centre.

                              If you spot an abusive or libellous post then please report it by Clicking Here. If you need to contact me, for instance if I've issued you a warning, moved, edited or deleted your post, please send me a message by clicking my username.

                              Comment


                              • Re: Unenforceability General Questions & Answers

                                You posted your agreement AGAIN publicly.

                                Please do not post anymore attachment uploads just now as you're clearly confused.

                                Read my signature for my email - Techie included - it's best to always email me the agreement please.

                                Thank you.
                                I'm the forum administrator and I look after the theme & features, our volunteers & users and also look after any complaints or Data Protection queries that pass through the forum or main website. I am extremely busy so if you do contact me or need a reply to a forum post then use the email or PM features offered because I do miss things and get tied up for days at a time!

                                If you spot any spammers, AE's, abusive or libellous posts or anything else that just doesn't feel right then please report them to me as soon as you spot them at: webmaster@all-about-debt.co.uk

                                Comment

                                Working...
                                X